- If 2 sets of data are related, they are said to be correlated
- There can be:
- no correlation
- negative correlation
- positive correlation

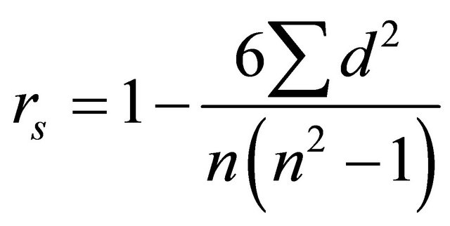
rₛ = rank coefficient n = number of pairs D = difference between ranks
- the result must be between -1 and 1
- rₛ value of +1 shows a perfect positive correlation
- -1 shows a perfect negative correlation
- 0 shows no correlation